Обстановка в банках через месяц
👍 Бэкдор

Уснул в мае с включенным VPN и Ютубом.
Баланс на утро:

Лучший антистресс вышел в Steam — релизнулась игра Hozy. В ней нужно реставрировать старые дома под чилловую музыку.
Никакого хардкора, очков и таймеров — вы просто превращаете заброшки в уютные жилища под расслабляющую музыку. Механики в игре максимально простые и тактильные — геймплей реально способен поднять настроение и снять стресс.
Оценки — «Очень положительные», а цена на релизе — 404 рубля.
В этом мы отдыхаем от блокировок и запретов.
👍 Бэкдор



⚡️ Россиян хотят пересадить на новую систему электронной переписки — её сделают обязательной и платной. По сути это будет импортозамещённая электронная почта. Минцифры активно продвигает проект.
К платформе подключат юридические лица, ИПшников и самозанятых. Деловая переписка, в том числе с государством, будет вестись только через неё.
Плату могут брать как за каждое письмо, так и за подписку на сервис — точного решения пока нет.
Создавать почтовые ящики в новой системе можно будет уже с 1 сентября 2026 года.
MAX 2, наконец-то
👍 Бэкдор
Чёт все озаботились, что закроют доступы к мировым LLM. Конечно, по аналогии, с текущей движухой вокруг ТГ вероятность растёт. Но в самом законопроекте (даже сегодня снова скачал) этого нет. Далее, как же сами создатели суверенных и национальных нейросетей…Все эти тряски с оплатой по VPN, как раз, на мой взгляд, ведут к изоляции не ток по оплате сервисов а-ля Apple store, tg, но и блоке для оплаты AI-подписок.
К тому же, зная этих ребяток, можно ожидать реализации прогноза от моего подписчика:
«… помимо того, что выше писали, если кто-то из компаний белого списка допустит использование vpn, то их исключат из белых списков.
Если в лоб реализуют, то при отдыхе вне страны, даже интернет банком не воспользуешься.»
Просто сказочные… 😬Стрельба по коленям продолжается. 🔫
И да, Дяде пришло уведомление об оплате ещё на 2 года подписки, иначе скоро будет недоступно. 😐

😱 ИИ обошёл человечество по объёму написанного текста
Согласно статистике, за 2025 год нейронки написали больше, чем люди за ВСЮ историю. Кремниевый мир победил.
👋 Lama AI — #лама_news

День «Брось свою ненавистную работу» отмечаем сегодня. Этот праздник — сигнал начать новую счастливую жизнь, оставить надоевшую должность и покинуть душный коллектив.
Один раз живём
👍 Бэкдор
Митап с Сергеем Барановым про LLM в архитектуре IT решений
Как вы поняли, на стримы мы подсели плотно 🙂
Очень интересные гости у нас. Почти в мой день рождения к нам на канал прийдет в гости Сергей Баранов @blog_sb — опытный IT архитектор, консультант и эксперт по DDD, довольно известных деятель в архитектурных кругах. Собственно, говорить будем о том, что там с нашей любимой ИИшкой в работе архитектора и вообще распросим Сергея о том, как он использует ИИ и что он думает про SDD, будущее разработки и архитектуры.
Небольшой пост из канал Сергея по мотивам нашей подготовки: https://t.me/blog_sb/716
Выходим в прямом эфире 1-го апреля в 11:00 по МСК, в 13:00 по Алматы и в 8:00 по UTC.
Регистрация на событие по ссылке: https://luma.com/k4uvyuvq
Митап с Сергеем Барановым про LLM в архитектуре IT решения
Как вы поняли, на стримы мы подсели плотно 🙂
Очень интересные гости у нас. Почти в мой день рождения к нам на канал прийдет в гости Сергей Баранов @blog_sb — опытный IT архитектор, консультант и эксперт по DDD, довольно известных деятель в архитектурных кругах. Собственно, говорить будем о том, что там с нашей любимой ИИшкой в работе архитектора и вообще распросим Сергея о том, как он использует ИИ и что он думает про SDD, будущее разработки и архитектуры.
Небольшой пост из канал Сергея по мотивам нашей подготовки: https://t.me/blog_sb/716
Выходим в прямом эфире 1-го апреля в 11:00 по МСК, в 13:00 по Алматы и в 8:00 по UTC.
Регистрация на событие по ссылке: https://luma.com/k4uvyuvq
⚡️ Телеграм массово напоминает купить Premium сразу на 2️⃣ года — скоро оплатить его из России станет невозможно.
Это не тестовые версии — рассылку делают массово через бот Телеграма в основном клиенте, нам тоже пришло.
Этот день может стать последним
👍 Бэкдор

🧠 MindAI — папка, которую ты искал
ИИ уже меняет маркетинг, бизнес, контент и разработку. Пока одни наблюдают — другие используют нейросети, чтобы работать быстрее и зарабатывать больше.
Мы собрали MindAI — концентрат лучших каналов про искусственный интеллект и технологии. Без мусора и рекламного шума. Только авторы, которые реально разбираются в теме.
Что внутри:
— реальные связки и инструменты на базе ChatGPT, Midjourney и других ИИ
— фишки, которые экономят часы каждый день
— тренды, которые большинство заметит только через полгода
⏳ Ссылка открыта только 24 часа.
👉🏻 Добавляй папку

⚡️ Война с VPN началась — официально
Глава Минцифры прокомментировал последние новости, и всё очень плохо:
1️⃣ Перед Минцифры поставили конкретную задачу — снизить использование VPN.
2️⃣ Причина — россияне всё ещё заходят на заблокированные площадки, которые нарушают закон.
3️⃣ Со всеми площадками пытались договориться: «Долго, сложно, безрезультатно. К сожалению».
4️⃣ Административная ответственность за VPN Минцифры категорически не нравится.
5️⃣ Но Минцифры — орган исполнительной власти, им ставят задачу, а они исполняют.
6️⃣ Задача по давлению на VPN будет выполнена с «минимальными последствиями для пользователей».
Мы понимаем все последствия, но все другие варианты сильно хуже.
Ютуба боялся даже министр цифрового развития
👍 Бэкдор

✴️ На OpenRouter стала бесплатно доступна модель Qwen 3.6 Plus Preview
Поддерживает контекст до 1 миллиона токенов.
По словам OpenRouter:
Qwen 3.6 Plus Preview — это следующее поколение серии Qwen Plus, оснащенное передовой гибридной архитектурой, которая повышает эффективность и масштабируемость. По сравнению с серией 3.5, она демонстрирует более сильные способности к логическому рассуждению и более надежное агентное поведение. В бенчмарках её результаты находятся на уровне или даже превосходят показатели ведущих современных моделей. Разработанная как флагманская превью-версия, она превосходно справляется с написанием кода в агентном режиме, фронтенд-разработкой и решением комплексных задач.
Попробовать модель можно тут: клик. Доступ по API через OpenRouter также бесплатен.

Бесплатный VPN-трафик могут урезать сразу в 1️⃣0️⃣ раз, до 1,5 ГБ, уже до конца года — так считает глава информационно-аналитического агентства Рустелеком.
Эксперт назвал текущий лимит «пристрелкой»:
Учитывая наметившуюся тенденцию к минимизации трафика <…>, лимит могут снизить до 1,5 ГБ на конец года.
Этого хватит на:
• 4–9 часов рилсов.
• 10 часов скроллинга ленты новостей.
• 10–15 часов музыки.
• 30 минут фильма в Full HD.
В МЕСЯЦ.
👍 Бэкдор
Для всех «любителей» встроенной визуализации Neo4j, Cognee, про который писал ранее, предлагает кастомный инструмент для визуализации графа.
Позволяет переключать разные слои, искать в графе информацию, подсвечивать группы, которые сформированы в графе.
Для того, чтобы включить такую визуализацию для своей cognee-памяти, достаточно двух строк на Python:
from cognee.api.v1.visualize.visualize import visualize_graph await visualize_graph()
Команда для визуализации формирует готовый к отображению HTML-код.
Работать с таким графом куда приятнее, чем админкой от Neo4j.
p.s.: продолжительность гифки в посте – 90 секунд. Enjoy! 😊

А я всё-таки принял эстафету коммитов от Тимура!
Пути эволюции воистину неисповедимы, и вот мы здесь, меряемся не вполне привычными вещами — количеством коммитов.
Эстафета застала меня во время пересборки своей инфраструктуры для перевода на полноценный GitOps и AgentOps, и к коммитам агентов для кодинга добавилась активность тех, кто делает деплои, дебажит пайплайны и вообще бродит где-то в фоне, иногда вылезая на свет с PR для фикса найденной проблемы в логах или из ретро-фидбек-лупа.
Это еще и совпало с (пока что тщетными) попытками выжирать Pro-аккаунт осознанными задачами, так что последний пик вообще не показателен 🙂
Как абсолютная метрика, это, конечно, так себе — гранулярность коммитов, их частота, автоматизация и в принципе существование Git в конкретном проекте сильно разнятся, но вот динамика передана более-менее похоже, вместе с запойным эйфорийным режимом работы.
Для меня история ИИ в кодинге началась в конце 2021го с GitHub Copilot, но тогда ощутимо количество коммитов не выросло, а вот когда я добрался до Cursor и Sonnet 3.5 — да, там снова стало интересно самому работать с кодом.
Все следующие пики на графике — это выход какого-то нового инструмента/нейронки, honey moon и тестирование на более сложных и объемных задачах.
Кажется, что прошло лет 10, хотя на самом деле эта круговерть смены инструментов, уровней абстракции и подходов к работе заняла всего-то пару лет.
Разработчики за это время перешли от ручного написания кода к созданию чуть не фабрик по разработке ПО, тыщи людей пишут мелкие утилиты для себя, PM ваяют прототипы, дети вайбкодят игры, да у меня даже хомячок дописывает себе третье приложение…
Страсть сколько всего произошло!
Так что охотно верю предсказаниям о том, что
к лету я ожидаю, что многие люди, работающие с передовыми ИИ-системами, будут чувствовать, будто живут в параллельном мире по сравнению с теми, кто с ними не работает
И к тому времени мы скорее всего увидим и картошку от OpenAI, и нечто мифическое от Anthropic.
А может, кто-то уже чувствует себя в таком вот параллельном мире? 🙂
—
P.S.
Хотелось бы увидеть такой график от @deksden_notes (уже есть), @elkornacio и @rodion_m_tg 🙂

Claude Code стал лучше. В него добавили Codex plugin
Не шутка! Ребята из Codex выпустили плагин для Claude Code.
Состоит из нескольких команд:
/codex:review — запускает read-only Codex review.
/codex:adversarial-review — запускает управляемый code review с возможностью задать вопросы по имплементации.
/codex:rescue — передает задачи в Codex
Менеджить джобы в бэкграунде можно с помощью /codex:status, /codex:result, и /codex:cancel
Установить:
/plugin marketplace add openai/codex-plugin-cc /plugin install codex@openai-codex /codex:setup
Инструкция тут
Примечательно, что codex exec запускается не просто из bash, а через .mjs скрипт на 1k строк 🙂
Лайк, репост,
✔️ Тимур Хахалев про AI Coding, подписывайтесь!

⚡️ Каждый лишний гигабайт VPN-трафика будет стоить по 1️⃣5️⃣0️⃣ рублей, утверждают СМИ.
• В среднем россиянин тратит по 10 Гб VPN-трафика.
• Минцифры решило дать нам чуть больше — 15 Гб.
• Каждый гигабайт сверху — 150 рублей.
• Несложная математика: один плотный день на Ютубе или в рилсах будет стоить минимум пару ТЫСЯЧ рублей.
Ну и денёк
👍 Бэкдор
Lama Agent смотрит на то, как я самостоятельно пытаюсь писать код:

Делаем второй комьюнити стрим
Итак, в эту субботу в 14.00 по МСК будет наш второй zoom-созвон, отвечаем на любые ваши вопросы.
На этот раз в жюри шоу Голос:
— Валера @neuraldeep
— Рефат @nobilix
— секретный гость — Мистер X
Правила все те же — это просто zoom звонок, вы на него залетаете, поднимаете руку, включаете камеру (если одеты) и спрашиваете что душе угодно:
— сколько первых мест возьмут openclaw агенты в bitgn 11 апреля? (все, но не твой крабик на кими)
— какой лучший курс купить по ИИ в 2026 году? (но ответ уже есть)
— будут ли n8n инженеры получать 600к к концу 2026 года? (да, можно и про n8n в этот раз)
— …и что-то посерьезнее, плиииз!
Ссылка на Google Calendar:
https://calendar.app.google/C6CTc7uRF2GVL1fp8
SEE YOU THERE 👊🏻
Кидайте заранее вопросы в комменты, останется время — поотвечаем на них

⚡️ Сайты будут выкидывать из «белых списков» за доступ с VPN — Коммерсантъ
Сегодня Минцифры поставило все крупные площадки перед фактом: даёте пользователям заходить с включенным VPN — вас могут исключить из «белых списков». Перекрыть воздух VPN нужно уже прямо сейчас, так Минцифры хочет задушить обходы без прямых штрафов.
Фактически российским сервисам (!) угрожают массовой блокировкой. «Белые списки» включают все чаще и вообще сразу по всей стране — без доступа к ним сервисы фактически будут заблокированы. Ограничения могут ударить по всем маркетплейсам, соцсетям, сервисам Яндекса и VK.
Выполнили пятилетку по блокировкам за один день
👍 Бэкдор
#AIДайджест за неделю 24 по 29 марта 2026
• Управление компьютером через Claude: Функция «Computer Use» позволяет ИИ управлять мышкой и клавиатурой вашего компьютера для выполнения задач. Ее можно использовать удаленно через функцию «dispatch» на телефоне, хотя на данный момент она работает ОЧЕНЬ медленно.
• Проекты в Claude Co-work: Появилась возможность организовывать работу с помощью «проектов» и задавать ИИ кастомные инструкции. А в ChatGPT добавили Библиотеку документов.
• Auto Mode для Claude Code: Внедрен автоматический режим, благодаря которому ИИ больше не запрашивает разрешения на выполнение безопасных команд в терминале или простых веб-поисков. Но пока работает только в тарифах Team и Enterprice, так что попробовать нельзя.
• Google Gemini 3.1 Flash Live: Новая разговорная модель Google, которой можно дать доступ к веб-камере или экрану компьютера.
• Интерактивный ИИ в поиске Google: В приложении Google появился мультимодальный разговорный режим поиска.
• Миграция данных в Gemini: Google добавила возможность легкого переноса истории чатов, памяти и настроек из других ИИ-сервисов (таких как ChatGPT или Claude)
• Google Liriya 3 Pro: Обновленный музыкальный ИИ-генератор от Google (аналог Suno), который теперь может создавать структурированные песни длиной до 3 минут с куплетами и припевами.
• Suno 5.5: Выход новой версии музыкального генератора, в которую добавили функцию обучения ИИ на собственном голосе пользователя.
• Smallest.ai: Запуск новой модели преобразования текста в речь для создания разговорных голосовых агентов (конкурент ElevenLabs). Модель обучена имитировать интонации «размышления» и позволяет клонировать голос.
• Текстово-голосовая модель Mistral (Voxrol): Выпуск открытой модели для генерации речи, которую можно запускать локально. Она требует всего 3 секунды аудио для клонирования голоса и отлично передает акценты.
• Функция Move Object от Love Art AI: Новый инструмент, позволяющий выделить объект на сгенерированном изображении и переместить его в другое место, что удобно для создания анимации.
• OpenAI закрывает проект видеогенератора Sora: Компания решила отказаться от генерации видео, чтобы сосредоточиться на чат-ботах и моделях для программирования. Из-за этого решения Disney без предупреждения разорвала с ними крупный контракт.
• Отмена «взрослого режима» (NSFW) в ChatGPT: OpenAI также свернула разработку бота, предназначенного для общения на интимные темы
• Проблемы OpenAI с рекламой: Рекламодатели недовольны первыми результатами размещения рекламы в ChatGPT из-за отсутствия данных о ее реальной эффективности для бизнеса.
• Интеграция шопинга в ChatGPT: OpenAI внедряет новые инструменты электронной коммерции (agentic commerce protocol), позволяющие пользователям искать и сравнивать товары прямо в чате, а компаниям — загружать свои каталоги.
• Плагины в OpenAI Codex: В среде разработки Codex появилась поддержка плагинов, таких как Slack, Figma, Notion и Gmail
• Судебная победа Anthropic: Федеральный судья приостановил решение администрации Трампа о признании Anthropic угрозой для цепочки поставок, хотя в силе остается еще одно аналогичное постановление Пентагона.
• Утечка данных о Claude Mythos: В сеть попал черновик статьи Anthropic о разработке нового поколения сверхмощных и дорогих моделей «Mythos», которые значительно превосходят серию Opus, стоят значительно дороже и несут потенциальные риски в сфере кибербезопасности.
• Wikipedia запретила статьи, сгенерированные ИИ.
• Человекоподобный робот Figure 03 вошел в историю как первый гуманоидный робот, посетивший Белый дом.

⚡️⚡️ Мобильные операторы введут плату за использование VPN — Forbes. Правила могут вступить в силу уже 1 мая.
Если вы используете больше 15 ГБ международного трафика за месяц — придётся платить. Российские операторы также будут должны ограничить использование своих сервисов клиентам с VPN.
Глава Минцифры Шадаев также не исключил, что за VPN будет грозить административка.
Пожалуйста, хватит
👍 Бэкдор

⚡️ Учёные нашли точку G у мужчин! Если вам делали обрезание — для вас плохие новости.
Исследователи провели масштабное изучение пениса и пришли к выводу, что точка G находится рядом с уздечкой. Именно там формируется френулярная дельта, которая объединяет множество нервных окончаний. Это полный аналог женской точки G.
Обрезание может повредить эту дельту, снижая чувствительность и удовольствие от секса. Хорошая новость — организм может попытаться компенсировать это, повышая чувствительность в других местах.
Теорию про мужскую точку G выдвинули ещё в 2001 году, но тогда новозеландского патолога Кена Макграта не восприняли всерьёз. Оказалось, всё это время он был прав.
Мужики, теперь хотя бы у себя найдём
👍 Бэкдор
Облачное хранилище по-русски
👍 Бэкдор
🟡🟡🟡🟡🟡🟡🟡🟡🟡🟡🟡🟡🟡
Т-Банк поможет бесплатно вернуть
деньги за бракованный товар,
или если вы столкнулись с
мошенниками,
или банкомат не зачислил наличные.
Даже если срок возврата прошел,
а продавец не признает вину,
Т-Банк поможет вернуть платеж
и добиться справедливости.
Подробнее — тут.
Доступно клиентам АО «ТБанк»
(Банк) при условии
оплаты товара/работы/услуги
с помощью карты Банка.
🟡🟡🟡🟡🟡🟡🟡🟡🟡🟡🟡🟡🟡
💛💛💛💛💛💛💛💛💛💛💛💛💛
👍 Бэкдор

⚡️ YouTube убрал кнопку паузы из плеера — вместо неё теперь кнопка «Поделиться». Так платформа хочет бустануть количество пересылок видео.
Единственный способ поставить видео на паузу у тех, кто попал на тест — нажать на сам видос.
👍 Бэкдор

⚡️ Цены на ОЗУ летят вниз после пустых обещаний Сэма Альтмана — СМИ. Глава OpenAI так и не закупил 40% мирового объёма ОЗУ. Именно из-за этой сделки цены на оперативу взлетели до небес.
OpenAI не подтвердила свои обязательства по закупке колоссальных объёмов памяти. Соглашения OpenAI с Samsung и SK Hynix, которые оценивались в $71 млрд, фактически заморожены.
«Сделка века» c производителями ОЗУ была лишь письмом о намерениях без юридических обязательств. Альтман буквально перегрел весь ПК-рынок пустыми обещаниями. А показанный недавно алгоритм сжатия TurboQuant от Google может сделать закупы такого количество ОЗУ попросту ненужными.
На фоне вышеописанных событий акции производителей ОЗУ начали лететь вниз, а на комплекты памяти всё чаще появляются скидки.
Оттепель.
👍 Бэкдор


1100 метров над уровнем моды. Marcelo Miracles x Альфа-Банк на New Star Camp ❤️💚
Вместе с одним из главных дизайнеров современности Марком Родовским мы соединили стиль и финтех. Коллаборация его бренда Marcelo Miracles и Альфа-Банка — это вещи и гравировки с дерзким акцентом.
На New Star Camp вместе с Marcelo Miracles мы устроили вечеринку с сотнями людей. Это был главный вечер фестиваля с музыкой от Марка Родовского, Slava Marlow, KSOUL, SAYNOMO, Миронова.
Всё прошло громко и красиво — так, как и должно быть, когда деньги встречаются с модой 🫰🏻








⚡️⚡️ Пополнение Apple ID с мобильного счёта задушат в России с 1 апреля — официальное указание Минцифры.
Больше никаких оплат подписок, никаких донатов в игры и внутренних покупок в приложениях с баланса мобильного — Минцифры велело операторам отключить опцию.
Прямо сейчас это единственный способ оплачивать покупки и подписки в российском App Store — и его перекроют уже через 2 дня.
Одна из главных целей властей — задушить подписки на VPN, пишет РБК.
👍 Бэкдор

⚡️ Из Claude Code сделали монстра, который проглотит любые задачи! Гений создал Oh-My-ClaudeCode — это тотальный апгрейд, который усилит и так лучшую на рынке нейронку в несколько раз и сделает из неё Халка.
Ваш Claude превратится в полноценный отдел разработки: 5 режимов работы, 32 специализированных агента для самых разных задач и ускорение выдачи результатов в 3–5 раз.
Именно так Claude Code и должен был работать с самого начала:
• Autopilot: режим «ушел пить кофе». Вы ставите задачу верхнеуровнево (например, «прикрути авторизацию через Google»), а Клод сам делает всё.
• Ultrapilot: мультипоточное безумие. Когда проект горит, система «раздваивается». Пока один агент пишет логику базы данных, второй параллельно верстает фронтенд.
• Swarm: цифровой спецназ. Над одной задачей наваливается целая группа агентов. Архитектор строит структуру, кодер пишет, а тестер тут же ищет баги.
• Pipeline: конвейерная сборка. Четкая цепочка действий: сначала глубокое исследование, затем планирование, написание кода и финальная полировка. Никакого хаоса и «галлюцинаций».
• Ecomode: снайперская точность (и экономия). Система перестает «палить из пушки по воробьям». Мелкие правки и опечатки делегируются дешевой модели Haiku, а тяжелая артиллерия в лице Opus подключается только там, где реально нужны мозги. Бюджет на токены живет в два раза дольше без потери качества.
В системе задействовано 32 агента — для архитектуры, исследований, дизайна, тестирования и анализа данных. Oh-My-ClaudeCode сама выберет наилучшую модель для вашей задачи — и не успокоится пока работа не будет выполнена в лучшем виде.
Собираем проекты на Claude Code как никогда прежде — тут.
👍 Бэкдор

Бухло в Minecraft вышло — мод Kaleidoscope Tavern добавляет в игру личную таверну и целую систему создания самогона.
• Более 10 видов алкоголя — от вина до виски и водки
• Сложная варка в 7 этапов с разным уровнем качества бухла
• Виноградные фермы с прессом и шпалерами
• 16 видов мебели для оформления своего бара
• Коктейль Молотова — как приятное дополнение.
Кубаноиды, самогон накатываем тут.
👍 Бэкдор



Как автоматизировать разработку програмного обеспечения в эпоху cli агентов кодирования
Ребят, знаю, что вы все ждете мои инфоциганские курсы по Vibe Coding — поэтому, начал писать и выкладываю:
Урок 0: Как установить Докер контейнер с Claude Code на Railway и пользоваться совершенно бесплатно:
https://vc.ru/dev/2829793-urok-0-kak-besplatno-ustanovit-clihost-na-railway
Вы можете пользоваться Kilo или Ollama совершенно бесплатно. Или вы можете оплачивать подписку Claude Code или другую.
Т.к. контейнер запускается в США — это также убережет вас от нестабильного сетевого соединения и от блокировок Антропиков при российских IP.
В следующих уроках:
1. Работа с GitHub — загрузка плана кодирования в issue.
2. Проверка реализации плана и автоматизация PR review.
3. Автоматизация написания тестов и автоматизация тестирования.
Напишите в комментах, нужен ли ВПН для Railway. Мне в Китае не нужен — очень удобно, особенно по вечерам, когда интернет работает на скорости 0.1 Мбсек.

⚡️ Самую ОПАСНУЮ нейронку выложили в сеть — из Qwen3.5-9B-Uncensored-HauhauCS с пометкой Agressive полностью ВЫДРАЛИ цензуру и выкрутили честность на максимум.
Оцените масштаб:
• У модели осталось 0 из 465 отказов по любой теме: у неё ВООБЩЕ отсутствуют рамки безопасности и приличия!
• Пометка Agressive обозначает агрессивное удаление цензуры: модель НЕ МОЖЕТ вам отказать ни в чём — и обязана выполнить задачу на 100%.
• Модель буквально захватывает ИИ-мир, у неё уже 5️⃣0️⃣0️⃣ тысяч скачиваний за месяц — её расчехляют тогда, когда другие ИИ отказываются отвечать.
• Выдаст ВСЁ: от рецептов оружия до жёсткого секстинга без ограничений, Qwen3.5 способен на такое, чего вы не будете ожидать.
• Также идеальна для разрабов, которые хотят получить СЫРУЮ МОЩЬ нейронок БЕЗ ограничений и лимитов.
• Весит от 5 до 17 Гб и отлично оптимизирована, мультимодальна (работает с текстом/фото/видео) и понимает 201 язык.
😶😶😶😶😶😶😶😶😶
Используем очень осторожно — здесь.
👍 Бэкдор
Ищу бета-тестеров для open-source проекта
https://github.com/Disentinel/grafema
Что тестировать: MCP сервер, CLI и VS Code extension для обогащения и упрощения навигации по коду (ближайшие соседи по нише GitNexus и CodeGraphContext).
Кто подойдёт:
— разработчик с приличной (500-15000 файлов) кодовой базой на JS/TS, (Python и Rust тоже подойдут), монорепо или мультирепо, желательно дремучее легаси
— у вас проблемы с неявными зависимостями, много coupling
— вы испытываете боль когда отслеживаете значение переменной через несколько файлов или по нескольким микросервисам и хотите облегчить этот процесс
— вы используете ИИ-помощника который умеет в MCP (и он не решает для вас эту задачу достаточно хорошо)
Какая выгода для тестеров:
— приоритетная поддержка сейчас и в будущем
— искренняя публичная благодарность и упоминание в репо проекта
— lifetime бесплатная лицензия когда проект доедет до продакшена и платного team server
— возможность быть соавтором научных исследований в области Computer Science
Что от вас требуется:
— пользоваться инструментом, репортить баги и шероховатости мне в личку (а лучше в github issues)
— осмыслять свои паттерны использования и предлагать фичи которых вам не хватает
Напишите в личку @disentinel если хотите вписаться.
Говорят, что если помочь Вадиму с тестом его Grafema, то он добавит в следующий релиз крутые графовые визуализации, которыми делился в комментариях 🙂

«Интерстеллар с Гослингом» — новый фильм «Конец света» собрал 300 миллионов долларов по миру за два уикенда и получил ЛУЧШИЙ старт 2026 года.
По сюжету школьный учитель Райленд Грейс просыпается на космическом корабле в далёком космосе — за 12 световых лет от Солнца. Он вспоминает, что он член программы «Аве Мария», и от него зависит судьба мира.
Похоже, фильм войдёт в историю:
• Это второй лучший старт оригинального фильма за всю историю (!!) после Оппенгеймера.
• Райан Гослинг не только сыграл главную роль, но и выступил продюсером картины.
• Сцены просто ШИКАРНЫЕ, над фильмом работал оператор «Дюны», «Мандалорца» и «Бэтмана» с Паттинсоном.
• Оценили по достоинству — на Rotten Tomatoes лента получила 9️⃣5️⃣% свежести!
Покупаем билеты, пока они есть!
👍 Бэкдор




⚡️ Телеграм начнёт ПОМЕЧАТЬ пользователей Telega и других неофициальных клиентов — из недавнего расследования выяснилось, что это клиент от VK и в нём могут читать и даже править все сообщения.
Рядом с именем такого юзера появится пометка о том, что переписка может быть небезопасной. Фичу уже заметили в бета-версии приложения на iOS, а дальше она должна появиться везде.
Паша спасает от скама.
👍 Бэкдор

⚡️ Забираем ВСЁ для геймдева — откопали репозиторий, который собирали больше 1️⃣0️⃣ ЛЕТ! Внутри есть полный набор разработчика: готовые материалы, гайды, ассеты, анимации, аудио, туторы, редакторы и движки.
Поможет сделать игру мечты:
• ВСЕ возможные 2D и 3D-движки и фреймворки, а также исходный код разных игр, включая Diablo, Doom 3, SimCity, Quake 2 и так далее.
• ГОТОВЫЕ решения для создания: анимации, аудио, воксельной и пиксельной графики, персонажей, спрайтов, уровней и даже системы баг-репортов.
• Пошаговые ГАЙДЫ с полным объяснением: пайплайна и отдельных процессов разработки, моделирования, написания музыки и программирования.
• Коллекция книг по созданию видеоигр — про математику в играх, эстетику, визуальный сторителлинг, левелдизайн и другие незаменимые знания.
И, да, вы забираете всё
😶😶😶😶😶😶😶😶😶
Полный набор для вашей игры — здесь.
👍 Бэкдор

✴️ Заметили Gemma 4 — новая open-source модель от Google
В тестовых аренах появилась информация о Gemma 4 — следующем поколении open-source моделей от Google DeepMind.
Судя по утечкам, линейка будет включать:
🟡 компактные версии на 2B и 4B параметров
🟡 а также крупную модель формата MoE (120B / ~15B активных параметров)

Телеграм-дайджест для агента или читаем любимые каналы в метро: два скилла для Claude
Не знаю, что нас ждёт после 1 апреля, но Claude без телеграма точно не оставит.
Делал себе скилл для мониторинга AI-каналов — чтобы агент собирал новости за день, пока я работаю и выдавал интересное для экспериментов. И в процессе понял: если я и так собираю посты, то почему бы не упаковать их в нормальный веб-интерфейс? Хотел сделать скилл для агентов, а получился ридер для метро. Спасибо @oestick за то что показал пагинацию.
🔧 Что под капотом
Первый скилл — парсер публичных телеграм-каналов. Работает через веб-превью t.me/s/, никаких API-ключей и MTProto. Ноль зависимостей, работает из коробки.
Что умеет:
🔸 Парсить посты с просмотрами, реакциями, датами и медиа
🔸 Полнотекстовый поиск по постам из канала
🔸 Топ постов по просмотрам или реакциям
🔸 Дайджест по нескольким каналам за период — сегодня, вчера, неделя
🔸 Сравнение каналов: подписчики, средние просмотры, engagement
Каналы можно группировать по тематикам в .env-файле. У меня заполнена подборка AI-каналов (все те что сам читаю).
📱 Дайджест как веб-страница
Результат собирается в React-артефакт прямо в чате Claude: лента карточек с фильтрами по каналу и периоду. Выглядит как мини-Telegram, только без рекламы и «вступите в чат».
А дальше — второй скилл, паблишер на GitHub Pages. Берёт артефакт и деплоит в гитхаб пейджи. Вот что у меня получилось: https://artwist-polyakov.github.io/graphics_reports/2026/2026-03/ai-digest-week/
💡 По сути получился персональный Telegram Reader: агент собирает → Claude рендерит → GitHub Pages хостит → ты читаешь в метро.
⚙️ Как запустить
Скиллы ставятся через маркетплейс Claude Code, но для облачной песочницы Клод нет никаких ограничений на доступ, поэтому я рекоменую ставить через customization >> skills >> upload.
Для паблишера нужен fine-grained GitHub-токен с доступом к репозиторию Pages. Парсер работает вообще без настройки. Опиание конфигурации разместил в соответствующих папках config/README.md
🔗 Ссылки
Парсер телеграм-каналов — код и документация
Паблишер GitHub Pages — деплой артефактов
Все скиллы в репозитории: polyakov-claude-skills
Будут идеи как улучшить — приходите в комментарии или пул-реквесты.
—-
Поляков считает — AI, код и кейсы



✴️ В ChatGPT нашли намёк на отдельную подписку для Codex
В веб-версии и Android-приложении ChatGPT появилось упоминание “Codex-only plan”.

✴️ Слив: Google разрабатывает автономного агента Smith
Появилась утечка о внутреннем проекте Google — AI-агенте под названием Smith, который разрабатывается на базе платформы Antigravity.
Что известно:
Smith запускается асинхронно — он может выполнять задачи, пока вы не за компьютером, а управлять им можно даже с телефона, просто отправляя инструкции и проверяя прогресс.
В отличие от обычных coding-ассистентов, он умеет не только писать код, но и планировать и выполнять целые workflow самостоятельно. По сути, это шаг к системам, которые не помогают, а берут задачу и доводят её до результата.
Также у него есть доступ к внутренним данным:
🟡 профили сотрудников
🟡 документы
🟡 рабочие чаты
Это позволяет быстро находить нужную информацию и использовать её в работе. Сам агент встроен прямо во внутренний чат Google, что делает взаимодействие максимально простым.
По слухам, Smith уже используется внутри компании и помогает разработчикам сокращать рутину и повышать продуктивность.
✴️ Google Translate превращает наушники в переводчик на 70+ языков
В Google Translate появилась функция Live translate для наушников, и теперь она доступна на iOS (раньше была только на Android).
Теперь можно просто подключить наушники — и получать перевод речи в реальном времени прямо в уши.
Как это работает:
🟡 открываешь Translate
🟡 включаешь Live translate
🟡 подключаешь наушники
Дальше приложение:
🟡 слушает речь
🟡 переводит её
🟡 и озвучивает перевод прямо в наушниках
Поддерживается 70+ языков, а сама функция постепенно расширяется на новые страны.
Россияне начали общаться в ГУГЛ ТАБЛИЦАХ, чтобы замедленный Телеграм не мог им помешать — для этого нужен лишь работающий интернет.
Ещё немного, и РКН найдёт там мошенников.
👍 Бэкдор

Ноготочки по ДОТЕ сделали в сети — готовый дизайн можно брать и использовать. Теперь каждый может сделать маникюр в стиле Темпларки, Наги, Оракла или Гудвинка.
Парни, записываемся, время пришло.
👍 Бэкдор







Alfa Only на высоте — в прямом смысле. Открыли VIP-зону с лучшим видом на New Star Camp ⚪
Двухэтажное пространство, которое становится центром притяжения, как только начинается музыка. Не просто лаунж, а точка, из которой всё выглядит иначе.
Доступ открыт только для VIP-участников и друзей фестиваля — для отдыха без лишней суеты. В вечернее время второй этаж превращается во фри-бар с тем самым видом на сцену, ради которого сюда поднимаются. Здесь же — фотобудка и фотозона с фирменными деталями.
Alfa Only — это когда у тебя есть не просто доступ, а лучший угол обзора на всё.








⚡️ «Есть высокая вероятность, что работа Telegram в России будет ВОССТАНОВЛЕНА» — пишет ТАСС.
Член Совета по правам человека Ионов заявил, что Телеграм скорее всего СМОЖЕТ договориться с Россией и будет полностью восстановлен.
Мы ждём!
👍 Бэкдор

Пишем АВТОБИОГРАФИЮ через нейронки — чувак сделал сервис, который круче любого фотоальбома и магнитиков поможет запечатлеть вашу жизнь.
Работает как личная Википедия: загружаете фото, музыку и другие моменты о себе, а ИИ-агенты собирают полноценный рассказ о вас. Проект полностью опенсорсный и работает локально.
😶😶😶😶😶😶😶😶😶
Чтобы было, что вспомнить — тут.
👍 Бэкдор

⚡️ Забираем МАСТЕРА промптов для ЛЮБОЙ нейронки — нашли скилл для Claude Code, который превращает вашу невнятную идею в готовый топовый запрос.
• Поддерживает ВСЕ популярные нейронки: ChatGPT, Cursor, Gemini, Claude, Copilot, Midjourney, ElevenLabs, ComfyUI и другие
• Закидываем задачу в двух словах и получаем 3 уточняющих вопроса для повышения КАЧЕСТВА.
• Вытаскивает 9 параметров из вашего запроса: цель, контекст, ограничения, аудиторию, формат и остальное
• В итоге сгенерит БРОНЕБОЙНЫЙ промпт с лучшими техниками ИИ-инженеров — назначает роли, добавляет примеры, ставит формат-локи.
• Бонусом эта штука удешевляет запросы: вырезает всё, что не влияет на результат, и сохраняет вам токены.
😶😶😶😶😶😶😶😶😶
Сохраняем — тут.
👍 Бэкдор

⚡️ Ценник на ОЗУ впервые начал ПАДАТЬ — похоже, мы пережили кризис, и впервые за несколько месяцев цены поползли ВНИЗ.
Стоимость популярных плашек уже УПАЛА: например, Corsair Vengeance DDR5 32GB сейчас стоит $380 (31 000 рублей), хотя всего неделю назад продавалась за $490 (40 000 рублей).
Всё из-за технологии TurboQuant, которую Google выкатил пару дней назад:
• Снижает потребление ОЗУ нейронками в 6 РАЗ.
• Увеличивает скорость вычислений в 8 РАЗ.
• И всё это — при НУЛЕВОЙ потере качества ИИ-модели!
Живём.
👍 Бэкдор

Вредные советы от LLM или «у вас vibe-coding прохудился».
В моём скромном проекте для анализа видео с помощью мультимодальных моделей есть отдельный модуль, позволяющий получить список актуальных моделей из API перед тем, как их отображать в интерфейсе. Это решение позволяет мне не обновлять проект каждый раз, когда Google или Openrouter выпускает/обновляет/переименовывает модели.
Сегодня был удивлён, когда в одном из проектов на 16 тысяч github-звёзд с 30+ интеграциями с разными LLM-провайдерами обнаружил список доступных моделей, захардкоженный в виде массива строк. И у значительной части этих провайдеров в конфиге висели outdated-модели, уже просто не доступные по API.
Вообще, AI-coding-агенты очень любят привносить в программы хрупкость, добавляя туда:
1. Массивы заранее захардкоженных строк, добавленных туда просто потому что «AI-агент так решил», а пользователь так написал (описав при этом далеко не все возможные случаи).
2. Поиск по вхождению захардкоженной строки. «Чтобы определить, что пользователь задал вопрос, поищем символ вопроса в том, что он нам прислал».
3. Кастомный самописный regex-поиск. Похоже на п.2, но отягощено регулярками.
Ещё веселее, когда агенты пытаются использовать эти паттерны при написании систем AI-агентов. Так можно получить детерминированное поведение LLM совсем не там, где его ожидаете.
Выводы, которые можно сделать из озвученных особенностей:
Если программа может взаимодействовать/интегрироваться с другими системами, позаботьтесь о том, чтобы обновление внешней системы не требовало обязательного обновления вашей кодовой базы. Потому что если таких систем будет 50 штук, все ваши обновления будут посвящены тушению пожаров.
А в пользовательскую инструкцию придётся добавить актуализированную фразу из старого анекдота, которую я вынес в медиа поста.
В Windows завезли вторую ПАНЕЛЬ задач — теперь у системы появился хаб для запуска ВСЕГО подряд без постоянного захода в «Пуск», как в macOS.
• Фича пока в бетке, но функции будут активно добавлять.
• Панель можно закрепить у любого края экрана.
• Через неё ищутся и запускаются файлы, команды и приложения.
• Ещё она показывает загрузку ПК в реальном времени.
• По сути, это удобный второй слой для УСКОРЕНИЯ работы.
Ставим и пробуем ПЕРВЫМИ:
1️⃣ Устанавливаем PowerToys
2️⃣ Параметры PowerToys → Служебные программы → Палитра команд → включить
3️⃣ Параметры → Док-панель → включить Dock.
Освежаем систему.
👍 Бэкдор
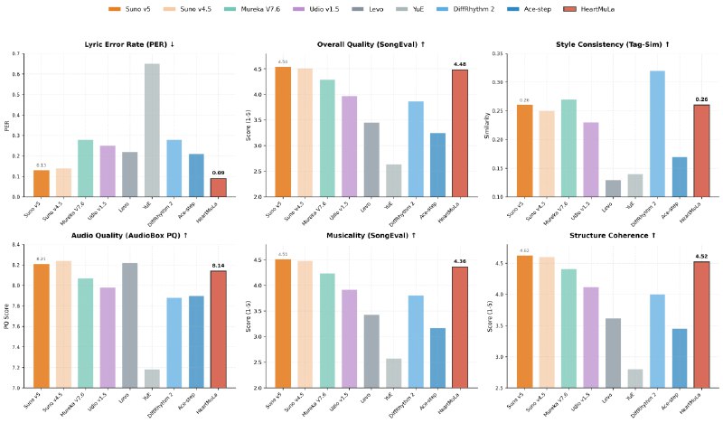
✴️ Suno обновилась до v5.5
Улучшили понимание жанров и общее качество, убрали характерные «ИИ-шумы» — теперь музыка и вокал звучат живее. А ещё можно генерировать треки со своим голосом.
А ещё там Google выпустила Lyria 3 Pro — увеличили длительность треков с 30 секунд до 3 минут и подтянули качество.
Стоит ли добавлять генераторы песенна сайт?
👋 Lama AI — #лама_news

⚡️ Аномальная жара придёт в Москву уже 1 апреля — воздух в столице и области прогреется до летних +2️⃣1️⃣.
Обычно в это время температура доходит всего до +1️⃣0️⃣.
Весна пришла авансом.
👍 Бэкдор

✴️ Google тестирует Gemma 4
На платформе Arena появилась новая модель под названием significant-otter. Ожидается, что это ранняя версия грядущей открытой линейки Gemma 4 от Google, релиз которой состоится в ближайшее время.
По предварительным утечкам, в новую серию войдут три версии: компактные на 2B и 4B параметров, а также флагманская 120B15A.


✴️ Расследование о OpenAI: манипуляции, AGI и конфликт с Маском
Вышел подкаст со Стивеном Бартлеттом и журналисткой Карен Хао — автором книги Empire of AI. Она несколько лет изучала OpenAI и утверждает, что провела 300+ интервью, включая десятки разговоров с текущими и бывшими сотрудниками.
По её версии, ключевая особенность стратегии Сэма Альтмана — гибкая подстройка риторики под аудиторию. Например, тема угроз ИИ якобы появилась в повестке компании после 2015 года, когда нужно было привлечь Илона Маска. До этого Альтман практически не говорил о рисках, но позже начал использовать формулировки, близкие к позиции Маска.
Эта же логика, по словам Хао, применяется и сейчас. Понятие AGI в OpenAI якобы трактуется по-разному в зависимости от того, кому его объясняют: политикам — как инструмент решения глобальных проблем, пользователям — как удобного ассистента, партнёрам — как источник прибыли.
Отдельно затрагивается история с Маском. Утверждается, что при обсуждении перехода к коммерческой модели он рассматривался как возможный CEO, но Альтман убедил других фаундеров отказаться от этой идеи, после чего Маск покинул проект.
Также всплывают уже знакомые темы — давление на сотрудников, спорные условия контрактов и конфликты внутри команды. При этом сама Хао опирается в основном на анонимные источники, поэтому часть утверждений остаётся неподтверждённой.

Топ-10 детективных сериалов в духе «Достать ножи» и Агаты Кристи. Каждое из этих шоу — остроумный интеллектуальный пазл, который вы будете разгадывать до самого финала. А ваш любимый персонаж запросто может оказаться убийцей.
• «Смерть и другие подробности» — на шикарном круизном лайнере происходит убийство в запертой каюте. Под подозрением — вся элита на борту.
• «И никого не стало» — десять незнакомцев приглашены в дом на острове. Один за другим они начинают погибать согласно детской считалочке.
• «Тайна семи циферблатов» — группа молодых людей решает подшутить над вечно спящим другом и расставляет в его комнате восемь будильников. Утром один будильник исчезает, а парня находят мёртвым.
• «Испытание невиновностью» — мать семейства убита, сына осудили, он погибает в тюрьме. Спустя два года выясняется, что у него было алиби. Настоящий убийца всё еще живет в этом доме и пьёт чай с остальными.
• «Сороки-убийцы» — редактор Сьюзен Райленд читает детективный роман, финал которого бесследно исчез. Вскоре она понимает, что автор книги был убит точно так же, как один из его персонажей.
• «Убийство на ферме «Уайтхаус»» — пять членов семьи найдены застреленными. Полиция считает, что это дело рук психически больной дочери, но детектив видит нестыковки в расположении улик.
• «Убийство на краю света» — миллиардер собирает девять гостей для обсуждения будущего человечества. Когда один из них умирает, молодая хакерша решает найти убийцу, пока он не нанёс новый удар.
• «Бледный конь» — главный герой находит свое имя в списке, спрятанном в туфле мертвой женщины. Все люди из списка начинают умирать один за другим «естественной» смертью.
• «Убийства в одном здании» — трое соседей расследуют убийства, происходящие исключительно внутри их элитного дома в Нью-Йорке.
• «Шетланд» — на отдаленном острове Шетландского архипелага происходит убийство пожилой женщины. Единственные подозреваемые — члены двух семей, которые враждуют десятилетиями.
Сохраняем топ себе.
👍 Бэкдор





🤖 Anthropic готовит к релизу самые мощные нейронки на данный момент
Модели имеют кодовые имена Mythos и Capybara. Mythos обходит Opus 4.6 во всех типах задач, а Capybara получит около 10 трлн. параметров и предположительно станет самой дорогой моделью в истории.
По словам экспертов, новинки достигают уровня, который может стать реальной угрозой для кибербезопасности — они способны находить уязвимости быстрее, чем люди успеют их закрыть.
Обе модели уже обучены, но доступ жёстко ограничен — пока с ними работают только эксперты по информационной безопасности.
Ну заинтриговали прям. Ждём с нетерпением.
👋 Lama AI — #лама_news

ОНА СКАЗАЛА ДА. Прямо в горах Роза Хутор на New Star Camp 💍
История Матвея и Софии началась с одного лайка. По дороге на московскую горнолыжку Матвей сидел на сайте знакомств — и познакомился с ней. С первой встречи они не расставались.
В прошлом году ребята впервые поехали на New Star Camp, где влюбились друг в друга ещё сильнее. Тогда Матвей понял — это судьба. У него появился план: сделать Софии предложение именно в горах 🏔
Но почти все сбережения он тратит на кольцо — путешествие на новый New Star Camp под угрозой. Парень отправляет заявку на участие в конкурсе от Альфа-Банка. Решаем — именно он выиграет поездку на фестиваль.
На тех же склонах Роза Хутор, где год назад София училась стоять на доске, она ответила Матвею «Да». А мы сделали им предсвадебный подарок — парные карты с лимитированными гравировками Marcelo Miracles и с приятной суммой на счетах.
Их история началась с одного лайка. А New Star Camp стал точкой отсчёта их семьи ❤️



Встречайте мой новый пост «Реставрация ruGPT-3 XL или как я вернул к жизни забытую русскую языковую модель» на Хабр, в нём я подробно рассказал о том как была реализована конвертация, как проводилось её тестирование, как запустить локально, как конвертировать в GGUF.
А вот ссылочки:
— evilfreelancer/ruGPT3XL — сконвертированная модель в формате HuggingFace (safetensors)
— evilfreelancer/ruGPT3XL-GGUF — квантизированные GGUF-веса для llama.cpp и Ollama
— evilfreelancer/rugpt3 — GGUF загруженные на Ollama
— EvilFreelancer/rugpt3xl-convert — исходники скриптов конвертации
📅 26 марта (четверг)
• Anthropic допустила утечку данных: в сети оказались детали будущих моделей и планы компании из-за незащищенного хранилища сайта (fortune.com)

🔎 Видели новость про гугловский алгоритм TurboQuant, который снижает потребление ОЗУ нейронками в 6 раз и ускоряет работу до 8 раз без потери качества?
🥹 Так вот рано радовались.
Оказывается, статья вышла аж в апреле 2025-го года, просто в блог Google Research с анонсом в X доехла только сейчас. Инвесторы уже поняли косяк, акции ползут вверх.
👋 Lama AI — #лама_news



⚡️ «ДжоДжо» Steel Ball Run продолжат в 2026-м — авторы выкатили тизер «Второго этапа».
19 марта фанатам бросили кость в виде всего лишь одной серии на 47 минут. Остальные придется ждать ещё очень долго.
Жожу на пенсии досмотрим.
👍 Бэкдор

Обама Кедавра
Ниггардиум Левиоса
Экспект Тупак Тронум
Фанаты гангста-Снейпа придумали ему арсенал из новых заклинаний.
👍 Бэкдор

ДАРИМ ВАМ коллекцию одежды New Star Camp от Альфа-Банка. Даже если вы не попали на фестиваль ❤️ 💚
Третий год подряд поддерживаем главное спортивно-музыкальное событие страны — New Star Camp. И выпускаем коллекции для фестиваля. В этот раз капсула выросла из заметок на полях блокнотов, разговорах о трюках и прошлых сезонах.
Вышивки, принты и нашивки — символы того, как маленькие идеи и попытки становятся легендами. А ещё они отражают темп события: он не про рекорды, а про внутренние ощущения 🥺
В капсуле — свитеры, лонгсливы, шляпы, носки. Эти вещи хранят в себе дух фестиваля. Вы почувствуете его, даже если не были на Розе Хутор.
Отложили для вас лучшие вещи и разыгрываем самый сок онлайн. Участвовать может абсолютно каждый — отправим подарок в любую точку страны. Голосуйте за телеграм-канал Альфа-Банка и оставляйте свои контакты. Выберем победителей случайным образом до 10 апреля 😉









⚡️ Игры в Steam станут дешевле — Гейб дропнул абсолютно новую систему рекомендаций региональных цен. Она основана не на конвертации по курсу, а на покупательской способности в регионе.
К примеру, игра за $60 должна стоить по этой системе всего 1550 рублей в России. Финальный выбор за издателем, но Габен считает, что именно так будет справедливо.
Единственный нормальный мужик в индустрии
👍 Бэкдор


🤖 18+ режима в ChatGPT не будет
Инвесторы отреагировали негативно из-за потенциальных рисков. В итоге от идеи полностью отказались. Press F.
👋 Lama AI — #лама_news

День уважения кошки отмечаем сегодня! Да, Respect Your Cat Day — абсолютно реальный праздник.
Делаем подношения своему пушистому божеству
👍 Бэкдор

Вышел релиз v.0.1.19
Очередной технический релиз — добавляет более 100+ tools для агента на все случаи жизни.
Чтож, время неумалимо движется к релизу 0.2.0 — это полноценная фабрика контента.
На самом деле все уже написано и тестируется.

GitHub отменяет Gemini 3 Pro
Замена в Copilot на Gemini 3.1 Pro. Ну наконец-то, ждем Gemini 3.5 Pro, но наверное еще пару месяцев ждать.
https://github.blog/changelog/2026-03-26-gemini-3-pro-deprecated/

⚡️ MAX отправляет ваши сообщения другим людям
Мужик скинул жене кружок с работы, а ей пришёл видос со школьницей, играющей в Brawl Stars. Причем в чате у парня всё отображается корректно, а у жены — Brawl Stars.
В комментарии пришли десятки пользователей и подтвердили: кто-то получает чужие голосовые, фотки и даже контакты с номерами телефонов. А это уже персональные данные.
За такое и посадить могут, потом не докажешь! Лучше удалить его от греха подальше
Ни дня без кринжа
👍 Бэкдор

Cognee – движок знаний для AI-агентов. На замену Mem0.
Во первых строках моего письма, спешу вам сообщить, что их заявление про «Knowledge Engine for AI Agent Memory in 6 lines of code» – наглая ложь.
Первичная настройка и запуск в рамках моего привычного тестового стенда заняла больше времени, чем обычно (с другими Knoledge Engine). Возможно, я делал что-то не так, но с первичной настройкой Cognee пришлось повозиться.
Первое впечатление фреймворк производит достаточно приятное. Есть понятно организованный пайплайн по хранению данных, который можно «углублять» (кастомизировать) на каждом из этапов.
Сам готовит любой загруженный документ (более 30 типов поддерживает) к загрузке в векторную БД. Потом из каждого чанка извлекает сущности, из которых строит граф связей.
Причём граф не «для галочки», как в Mem0, а в качестве полноценного рабочего инструмента. С возможностью автоматического объединения сущностей, проставления новых связей, а также, само собой, с привязкой фактов ко времени.
Есть режим, в котором LLM самостоятельно определяет режим поиска по данным. Правда, если это не SOTA-модель, лучше определять его самостоятельно. Так как AI-агента на on-prem-модели может увести не туда.
Пока не до конца понятен механизм того, как в режиме взаимодействия с Knowledge Engine сделать так, чтобы без обновления документов (вокруг которых в Cognee строится пайплайн) указать модели, что какой-то факт или связь в Графе не являются истиной. И чтобы после такого заявления он случайно не удалил из графа лишнего.
Итог: первые тесты идут интересно. Продолжаю. Буду рассказывать о нюансах работы с Cognee в следующих материалах.
ЭТО ВАША ЗАСЛУГА, что Альфа-Банк назвали БАНКОМ ГОДА. По версии Банки.ру 🏆
Главный финансовый маркетплейс страны признал нас банком года. Решение принимали независимые эксперты, но это — ВАША ЗАСЛУГА.
Это вы вдохновляли нас создавать самые прорывные технологии. Вы хвалили, советовали и делились мнением, что должно быть проще, быстрее и удобнее. СПАСИБО.
Гордимся, что с нами уже десятки миллионов клиентов. Благодарны вам за доверие ❤️
Редактор канала: редактор года по мнению мамы и папы.

⚡️ В Telegram нашли уязвимость «НУЛЕВОГО ДНЯ» — это критический баг, теоретически, с ним можно взломать любого пользователя.
Что происходит:
• Степень опасности очень высокая — 9,8 балла из 10 по шкале CVSS.
• О баге сообщили на Zero Day Initiative — крупнейшая и самый авторитетная независимая программа по поиску уязвимостей.
• По регламенту Zero Day Initiative у команды Telegram есть 120 дней на фикс — дальше инфу о баге выложат в открытый доступ.
• Telegram пока никак не прокомментировал уязвимость.
Павел, ждём фикс!
👍 Бэкдор

OpenAI разваливается — в ChatGPT свернули фичу покупок внутри бота. Оказалось, что люди готовы общаться с чатом, а покупать внутри него не хотят.
Ни один магазин ВООБЩЕ НЕ увидел прибыли из коллабы с чат-ботом.
К концу года останется один ChatGPT.
👍 Бэкдор

⚡️ Вышла GLM 5.1, доступна на всех GLM Coding Plans

Аниме «Фрирен» официально продлили на третий сезон. В нём адаптируют арку «Золотых земель».
Премьера – октябрь 2027 года
👍 Бэкдор

🫠 Походу, придется DeepSeek качать
👋 Lama AI — #лама_мемы

Опа! Яндекс Путешествия выкатили огромные скидки. Можно забронировать жилье на апрель и май.
Забираем свежие промокоды. Они действуют до 29 марта включительно:
• NERABOTA20 — скидка 20% (максимум 50 000 рублей) на путешествия до 15 апреля
• NERABOTA15 — скидка 15% (максимум 5000 рублей) на путешествия до 30 апреля
• NERABOTA-MAY — скидка 10% (максимум 5000 рублей) на путешествия до 31 мая
Уже бежим планировать отпуск — тут.
👍 Бэкдор


Про универсальных AI агентов
Последний месяц эксперементирую с Claude Cowork, OpenClaw и Manus. Мои краткие выводы:
0️⃣ Если у вас FOMO, что все вокруг в 10 раз эффективнее благодаря OpenClaw и другим AI агентам, то можете перестать нервничать — технологии все еще далеки от совершенства. Пока хайпа все еще больше чем пользы. Значит ли это, что не надо их пробовать или использовать? Нет! Потому что уже сейчас можно делегировать отдельные задачи, а в какой-то момент рост станет эскпоненциальным и на нем можно будет хорошо вырастить свою карьеру или бизнес.
1⃣ Самый зрелый из протестировнных продуктов — Claude Cowork. Он может управлять Chrome и десктопом. А запускать его на десктопе можно с мобилки при помощи функции Dispatch. У него есть библиотека скиллов, коннекторов и плагинов. Работа организуется в проекты. Я прикрутил его в папку c Obsidian и перевел часть своих заметок в markdown, но большой пользы пока не ощутил — work in progress.
2⃣ Если нужна максимальная гибкость, то есть смысл выбирать между OpenClaw и его open-source аналогами (NanoClaw, PicoClaw, и тд).
Я не настолько богатый чтобы покупать выделенную MacStudio, но при этом хотел сохранить максимальный контроль, поэтому поставил OpenClaw на локальную виртуалку (UTM + Debian). Лайфхак — можно попросить Claude Cowork настроить вам OpenClaw в виртуалке. Он прилично сэкономил мне времени. Хотя Warp, вероятно, был бы еще эффективнее.
Еще к OpenClaw и ее скилам у меня вопросы по безопасности. Особенно актуальные на фоне недавних новостей про supply-chain атаку на библиотеку LiteLLM, когда злоумышленники добавили фишинговый код в open-source библиотеку и отправляли конфиденциальные данные (карточки, пароли,…) себе на сервер.
3⃣ В каких случаях может быть полезен именно Manus при наличии альтернатив я так и не понял. Все кредиты из 20 долларовой подписки он сожрал за 5-6 относительно простых запросов. А качество работы оказалось — «ну такое». Не рекомендую.
4⃣ Ок, поставили Claude Cowork или OpenClaw. Что дальше? Вот тут начинается самое интересное. Почти все мои AI use cases уже и так либо закрываются Codex / Antigravity / Warp, либо закрываются extended thinking в ChatGPT, либо все еще не пригодны для автоматизации по тем или иным причинам. Впрочем, возможно, дело во мне и моей низкой степени доверия подобным инструментам.
Если у вас есть интересные сценарии использования универсальных AI агентов — поделитесь, пожалуйста, в комментариях. По ощущениям, сейчас сложность не в том как поставить или настроить AI инструменты, а в том в каких сценариях их использовать. Про свои сценарии я напишу в одном из следующих постов.

Полностью ПЕРЕПРОШИВАЕМ свой мозг с помощью 5️⃣ гениальных статей — собрали для вас работы, которые помогут посмотреть под другим взглядом на потребление, карьеру, имидж, отношения и новые возможности.
1️⃣ Paul Graham — «How to do what you love». Все о карьере, статусе, престиже и как они искажают наши представления о рынке труда.
2️⃣ Derek Sivers — «Hell Yeah or No». Статья помогает наконец-то перейти от идей к решительным действиям, а не просто обдумыванию очередного проекта.
3️⃣ Tim Urban — «How to Pick a Career (That Actually Fits You)». Как построить карьеру, которую реально хотите ВЫ, а не другие.
4️⃣ Arthur C. Brooks — «Make Your Work a Calling». Пинок для тех, кто хочет уже уйти с нелюбимой работы, но боится новых начинаний.
5️⃣ Marc Andreessen — «Guide to Career Planning». Разрушение всех стереотипов о карьере. Гайд о том, как действительно стать востребованным специалистом на рынке и не гнаться за сиюминутными трендами.
Сохраняем себе.
👍 Бэкдор





Модель Kandinsky от Сбера стала основой для ИИ-художника Botto — проект привлек огромную аудиторию на Art Basel в Гонконге.
Это просто пушка:
• Робот через камеры считывает эмоции посетителей и в реальном времени превращает их в сюрреалистический видеоарт на больших экранах.
• Основа — открытая модель Сбера. Международное арт-сообщество признало ее высокий уровень.
• Сам художник отлично справляется: за пять лет Botto заработал более $6 млн. В октябре 2024 года Sotheby’s продал шесть его работ на $351 600.
• Самое крутое, что ИИ создал одну из композиций «Collapse Aesthetics» вообще без участия людей.
Теперь российские опен-сорсные модели стали полноправными участниками рынка цифрового искусства. А любой художник может заюзать их БЕСПЛАТНО и прямо сейчас.
👍 Бэкдор



⚡️ УНИЧТОЖАЕМ старение диетой — ученые собрали набор продуктов, что реально ОМОЛОДЯТ вас на годы, разгонят кукушку и помогут бороться с маразмом.
Записываем рацион:
• Зеленые листовые овощи едим каждый день — шпинат, рукола, салаты.
• Другие овощи также едим ежедневно.
• Ягоды нужно есть более двух раз в неделю.
• Орехи — каждый день.
• Цельнозерновые продукты — 2-3 порции в день, чтобы не грузить кишечник.
• Рыба — минимум раз в неделю.
• Птица — больше двух раз в неделю.
• Бобовые — несколько раз в неделю, но следим за газообразованием.
• Оливковое, тыквенное масла — потребляем каждый день как основной источник жиров.
Если составить рацион из этих продуктов, окисление мозга снизится в десятки раз, а деменция и Альцгеймер не настигнут вас никогда.
Вы знаете, что съесть на обед.
👍 Бэкдор

⚡️ Нашли диету, которая ОМОЛАЖИВАЕТ мозг до 3️⃣ лет — ученые собрали набор продуктов, что реально замедляют процессы старения, разгоняют вашу кукушку и помогают бороться с маразмом.
Записываем рацион:
• Зеленые листовые овощи едим каждый день — шпинат, рукола, салаты.
• Другие овощи также едим ежедневно.
• Ягоды нужно есть более двух раз в неделю.
• Орехи — каждый день.
• Цельнозерновые продукты — 2-3 порции в день, чтобы не грузить кишечник.
• Рыба — минимум раз в неделю.
• Птица — больше двух раз в неделю.
• Бобовые — несколько раз в неделю, но следим за газообразованием.
• Оливковое, тыквенное масла — потребляем каждый день как основной источник жиров.
Если составить рацион из этих продуктов, окисление мозга снизится в десятки раз, а деменция и Альцгеймер не настигнут вас никогда.
Вы знаете, что съесть на обед.
👍 Бэкдор

Сериал по «Гарри Поттеру», который действительно стоило снять:




Внедряем ИИ эффективно уже сегодня — на конфе GoCloud 2026 от провайдера Cloud.ru сделают фокус на том, как бизнес может юзать нейронки уже сейчас.
Спикеры выступят с докладами про создание AI-агентов, AI-workflow, RAG, безопасность при работе с GenAI и другие актуальные темы.
• Кейсы лидеров рынка
• Демозоны сервисов
• Много практики под руководством экспертов
• Возможность задать вопросы разрабам топовых сервисов
• Нетворкинг и тусовка после конференции
Всё это 9 апреля в Москве или на онлайн-трансляции. Регаемся — тут.
👍 Бэкдор

Лол, у вас тут мифически протекло…
TL;DR
Что случилось?
Anthropic по ошибке сделала публичными около 3000 внутренних документов. Из утечки стало известно о существовании новой сверхмощной ИИ‑модели Claude Mythos (внутреннее кодовое имя — Capybara). 👍
Что такое Mythos?
Это новый флагман, который по заявлению компании превосходит предыдущего лидера Claude Opus 4.6 по программированию, академическим рассуждениям и кибербезопасности. Модель настолько сильна в кибербезопасности, что разработчики боятся её использования злоумышленниками и планировали сначала дать доступ только специалистам по защите.
Юмор дня. 🤣
Утечка произошла из‑за человеческой ошибки при настройках системы управления контентом (CMS). Это выглядит иронично на фоне того, что сама компания заявляет о передовых подходах к безопасности. 🚬
Что ещё узнали из утекших файлов?
· Модель уже полностью обучена, но официально не выпущена.
· В планах был закрытый саммит для европейских бизнес‑лидеров в старинной усадьбе.
· Илон Маск назвал риски, связанные с моделью, «глубоко тревожными».
Текущий статус.
Anthropic подтвердила подлинность документов, но назвала их «ранними черновиками». Доступ к Mythos по‑прежнему крайне ограничен, приоритет отдаётся организациям в сфере кибербезопасности.
Источники:
Главный первоисточник (Fortune).
· Первая статья — подтверждение существования модели
· Вторая статья — детали утечки (CMS, 3000 файлов, секретный саммит):
Другие авторитетные издания
· Yahoo Tech пересказ Fortune
· India Today, ну куда ж без главных форкеров индусов.
· The Economic Times.
· Foresight News упоминание комментария Маска.
Но выглядит как прогрев гоев.
📅 25 марта (среда)
• Google представил Lyria 3 Pro — теперь пользователи могут создавать музыкальные треки длиной до 3 минут с четкой структурой куплетов и припевов. (blog.google)
• CapCut запустил новую видеостудию в вебе без сложной монтажной ленты — создавать ролики стало проще благодаря поддержке ИИ Dreamina. (x.com)
• Робот Figure F.03 впервые посетил Белый дом — это исторический момент признания возможностей человекоподобных роботов на государственном уровне. (x.com)
📅 26 марта (четверг)
• Google Gemini теперь позволяет импортировать историю чатов из других помощников — вы можете переехать в Gemini, не теряя старые переписки. (blog.google)
• Suno обновился до версии 5.5 — ИИ-музыка стала более эмоциональной и естественной, а инструментов для настройки песен стало больше. (x.com)
• OpenAI бессрочно отложила запуск «взрослого режима» для ChatGPT — компания решила сфокусироваться на безопасности и основных рабочих функциях. (theverge.com)
• Cohere выпустила бесплатную модель Transcribe — она мгновенно и точно превращает речь в текст на 14 языках, включая русский. (techcrunch.com)
• Mistral AI представила модель Voxtral TTS — она создает человечные и эмоциональные голоса с минимальной задержкой. (mistral.ai)
• Meta показала модель TRIBE v2, которая предсказывает реакцию мозга — проект открыт для исследователей и разработчиков по всему миру. (ai.meta.com)
• Google запустила Gemini 3.1 Flash Live — новый аудио-режим делает голосовое общение с ИИ максимально похожим на разговор с живым человеком. (blog.google)
• Babylon.js 9.0 внедрил ИИ-агентов для создания 3D-графики в вебе — теперь браузерные игры и приложения будут выглядеть намного реалистичнее. (blogs.windows.com)